Sitemap
A list of all the posts and pages found on the site. For you robots out there is an XML version available for digesting as well.
Pages
Jackson Kulik
Jackson Kulik is an Assistant Professor at Utah State University in the Mechanical and Aerospace Engineering Department
Alex Nelson
Alex Nelson is a PhD student at Utah State University in the Mechanical and Aerospace Engineering Department 
Braden Hastings
Braden Hastings is a PhD student at Utah State University in the Mechanical and Aerospace Engineering Department 
Zack Fraser
Zack Fraser is a Masters student with a focus on GN&C engineering for aerospace systems. Zack graduated with a B.S. in Mechanical Engineering degree from Utah State University in 2025.
Ryan Johnson
Ryan Johnson is a dual Bachelors/Masters student…
Allan Lyon
Allan Lyon is a PhD student at Utah State University in the Mechanical and Aerospace Engineering Department 
Posts
Astrodynamics Specialist Conference
Published:
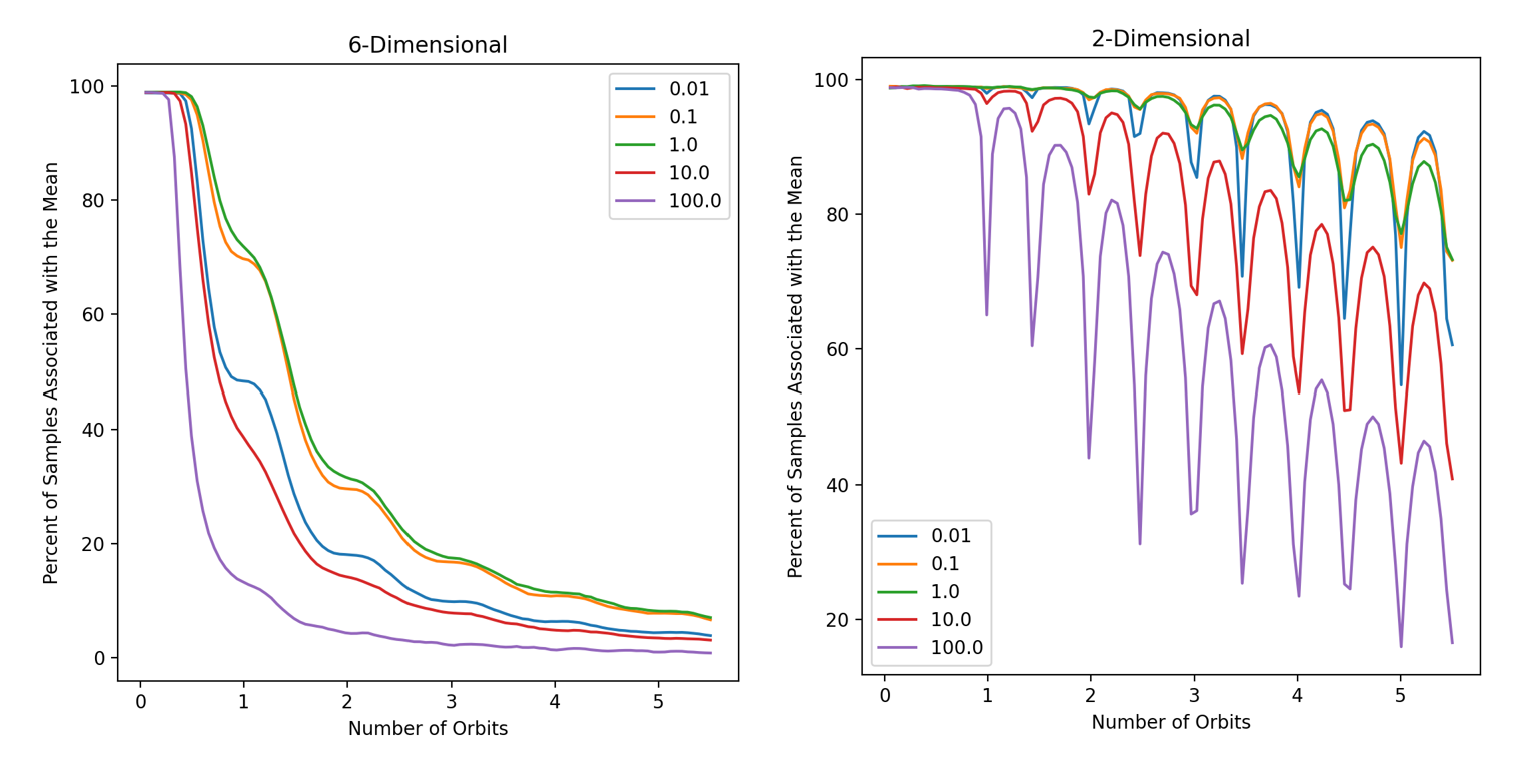
Alex attended the Astrodynamics Specialist Conference in Boston MA presenting on joint work with Jackson Kulik titled Unexpected Observations on the Accuracy of Linear Covariance Analysis and Track Association. A preprint of the paper can be found here

Spaceflight Mechanics Meeting
Published:
Jackson attended Spaceflight Mechanics Meeting in Kauai presenting on joint work with Braden Hastings and Keith LeGrand titled Linear Covariance Fidelity Checks and Measures of Non-Gaussianity.
A preprint of the paper can be found here
We have posted similar work applied to Gaussian mixture splitting here.
Astrodynamics Specialist Conference
Published:
Jackson attended Astrodynamics Specialist Conference in Broomfield CO presenting on joint work with Dmitry Savransky and Maxwell Zweig titled Comparing Relative Reachable Sets About Nearly Circular Orbits.

portfolio
Jackson Kulik
Jackson Kulik is an Assistant Professor at Utah State University in the Mechanical and Aerospace Engineering Department
Alex Nelson
Alex Nelson is a PhD student at Utah State University in the Mechanical and Aerospace Engineering Department 
Braden Hastings
Braden Hastings is a PhD student at Utah State University in the Mechanical and Aerospace Engineering Department 
Zack Fraser
Zack Fraser is a Masters student with a focus on GN&C engineering for aerospace systems. Zack graduated with a B.S. in Mechanical Engineering degree from Utah State University in 2025.
Ryan Johnson
Ryan Johnson is a dual Bachelors/Masters student…
Allan Lyon
Allan Lyon is a PhD student at Utah State University in the Mechanical and Aerospace Engineering Department 
publications
Paper Title Number 1
Published in Journal 1, 2009
This paper is about the number 1. The number 2 is left for future work.
Recommended citation: Your Name, You. (2009). "Paper Title Number 1." Journal 1. 1(1).
Download Paper | Download Slides
Paper Title Number 2
Published in Journal 1, 2010
This paper is about the number 2. The number 3 is left for future work.
Recommended citation: Your Name, You. (2010). "Paper Title Number 2." Journal 1. 1(2).
Download Paper | Download Slides
Paper Title Number 3
Published in Journal 1, 2015
This paper is about the number 3. The number 4 is left for future work.
Recommended citation: Your Name, You. (2015). "Paper Title Number 3." Journal 1. 1(3).
Download Paper | Download Slides
Paper Title Number 4
Published in GitHub Journal of Bugs, 2024
This paper is about fixing template issue #693.
Recommended citation: Your Name, You. (2024). "Paper Title Number 3." GitHub Journal of Bugs. 1(3).
Download Paper
talks
Talk 1 on Relevant Topic in Your Field
Published:
This is a description of your talk, which is a markdown files that can be all markdown-ified like any other post. Yay markdown!
Conference Proceeding talk 3 on Relevant Topic in Your Field
Published:
This is a description of your conference proceedings talk, note the different field in type. You can put anything in this field.
teaching
Teaching experience 1
Undergraduate course, University 1, Department, 2014
This is a description of a teaching experience. You can use markdown like any other post.
